The nurse holds the patient s eye open by pushing up on the skin of the upper orbit and with the free hand instills the drops of medication onto the patient s cornea at a distance of 2 5 to 5 cm 1 to 2 inches. A patient is to receive 20 units of nph insulin and 10 units of regular insulin as an injection.
Fundamentals Of Nursing Practice Exam 1
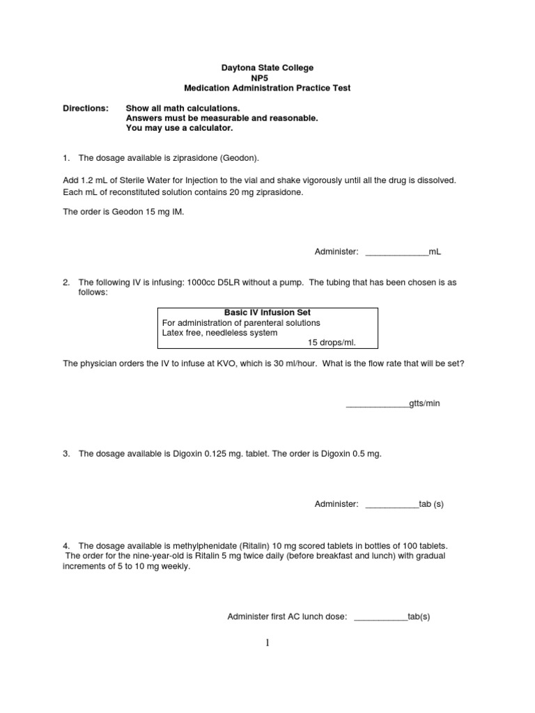
Medication administration practice test medications can be delivered via several different routes.

Medication administration practice test. We ll review your answers and create a test prep plan for you. Time limit none allowed attempts 10 take the quiz. Medication administration practice exam due no due date points 67.
Eplummer terms in this set 90 1. The nurse follows the 6 rights of medication administration. Draw up each insulin in a separate syringe.
How should the patient be taught to prepare the insulin for injection. Thanks for visiting student survive 2 thrive. Staff will be able to identify the 6 rights of medication administration.
The federal government protects the health of the people by ensuring. Medication administration practice questions. The nurse asks the patient to tilt the head back and look up.
Administration how many milliliters would be given. Staff will demonstrate med administration to the rn to three residents. Briefly summarize the roles of the following in relation to the regulation of medications.
Staff will demonstrate knowledge in medication administration by passing this quiz with 80 or better. Medication administration nursing chapter exam take this practice test to check your existing knowledge of the course material. This practice test highlights twelve different ways to administer medications.
Medication calculation exam study guide and practice exam los angeles county department of public health nursing medication calculation exam mce the medication calculation examination consist of 31 questions for registered nurses and 25 questions for licensed vocational nurses of dosage calculations i v and patient rights.
Med Admin Practice Questions Olanzapine Intravenous Therapy
Suffolk County Community College Nursing Department Medication Administration Test Nr 40 Practice Test Questions Read Instructions Carefully Pdf Free Download
Baptist Health Medication Examination Information Sheet Why Is It
Pre Test These Are The Types Of Medication Adminis Chegg Com
Medication Administration Training Test Fill Online Printable Fillable Blank Pdffiller
First Week Lab Quizzes 1and2 Studocu
Sample Medication Administration Test
Student Survive 2 Thrive Medication Administration Practice Test
To Access The Medication Test Study Guide
Suffolk County Community College Nursing Department Medication Administration Test Nr 40 Practice Test Questions Read Instructions Carefully Pdf Free Download
Quiz Worksheet Accurately Administering Medication Study Com
Medication Administration Practice Test Youtube
ads
Search This Blog
Blog Archive
- January 2023 (4)
- January 2022 (15)
- December 2021 (6)
- November 2021 (15)
- October 2021 (18)
- September 2021 (13)
- August 2021 (17)
- July 2021 (25)
- June 2021 (22)
- May 2021 (13)
- April 2021 (22)
- March 2021 (32)
- February 2021 (21)
- January 2021 (24)
- December 2020 (25)
- November 2020 (13)
- October 2020 (23)
- September 2020 (23)
- August 2020 (23)
- July 2020 (20)
- June 2020 (14)
- May 2020 (13)
- April 2020 (12)
- March 2020 (10)
- February 2020 (18)
- January 2020 (13)
- December 2019 (14)
- November 2019 (14)
- October 2019 (14)
- September 2019 (13)
- August 2019 (6)
- July 2019 (13)
- June 2019 (7)
Labels
- 100 cotton scrub tops
- 10th class maths formulas list in hindi
- 5th generation cephalosporins
- 5th generation cephalosporins in india
- 8 stages of development according to erik erikson
- acute deep vein thrombosis
- acute pancreatitis treatments
- acute vein thrombosis
- acyanotic heart defects
- acyanotic heart defects amboss
- adverse effects of benzodiazepines in the elderly
- adverse effects of benzodiazepines mnemonic
- alpha and beta receptors for dummies
- american association of critical care nurses
- american association of critical care nurses mission
- ammonia level range
- ammonia level range hepatic encephalopathy
- ana test normal range
- ana test normal range negative
- ana test results range
- anemia ferritin normal range
- anemia normal range
- annual salary of a nurse anesthetist
- anticoagulant therapy teaching
- antidiabetic drugs classification chart
- apa 7th edition reference page website example
- apa format and citations
- apa format and citations sixth (6th) edition
- apa format software
- apa format software free download
- apa reference dictionary
- apa reference dictionary online
- apa reference page website
- apa style citation example
- apa style citation page example
- atrial fib ecg
- atrial fib ecg reading
- august steiner watches review
- auscultating breath sounds
- auscultating breath sounds steps
- auscultation breath sounds
- auscultation breath sounds audio
- auscultation of lungs sounds
- barco scrub jackets
- basic ecg interpretation course
- basic ecg rhythms
- basic ecg rhythms quiz
- basic ekg interpretation
- basic formulas of maths
- basic laboratory tests
- basic laboratory tests pdf
- basic metric system conversion chart
- behavioral adaptations definition
- behavioral adaptations definition biology
- best shoes for male nurses
- best shoes for male nurses australia
- bilirubin lab values
- bilirubin lab values and meanings
- biological theory of ageing
- biological theory of ageing definition
- bipolar disorder pathophysiology
- bipolar disorder pathophysiology dopamine
- bipolar mood disorder type 2
- black and silver fossil watch
- black and silver fossil watch men's
- black suede oxford shoes womens
- blood counts explained
- blood pressure assessment sheet
- blood pressure assessment simulator 2 with tablet
- blood test explained
- blood test explained pdf
- blood test results ranges
- blood test results ranges explained
- blood work results mcv
- blood work results mcv low
- bmp laboratory test
- bowel obstruction in children
- bowel obstruction in children/pdf
- bracelet ice watch silicone orange
- bronchial breath sounds pneumonia
- bun normal value
- burn patient care plan
- c1 and c2 vertebrae injury
- cardiac dysrhythmia signs and symptoms
- cardiac injury markers
- care of burn patient ppt
- care plan example
- care plan examples aged care
- care plan for chf
- care plan for congestive heart failure
- care plan for hypertension
- care plan for iron deficiency anemia
- care plan for risk of infection
- care planning cycle
- care planning cycle nhs
- career goals as a nurse
- career goals as a nurse essay
- categories of fetal heart rate tracings
- causes of hypovolemic shock
- causes of hypovolemic shock in neonates
- causes of low sodium in adults
- cbc cmp blood test
- cbc lab work
- cbc lab work results
- cbc normal lab values
- characteristics of nurses
- chart comparing fahrenheit and celsius
- cheap zuca bags
- cheat sheet military time conversion chart
- cherokee flexible scrub tops
- cherokee tooniforms scrub tops
- chest pain assessment pqrst
- chest percussion technique
- chest percussion technique for baby
- chf care plan
- chf care plan goals
- chloride lab values
- chloride lab values low
- clinical signs of shock
- clinical signs of shock veterinary
- cmp blood test results explained
- cmp test results explained
- community nurse role
- community nurse role in diabetes
- comprehensive metabolic panel
- comprehensive metabolic panel blood test
- comprehensive metabolic panel results explained
- compression fracture cervical spine
- compression fracture cervical spine radiology
- conversion rate pounds to kilograms
- conversion table fahrenheit to celsius formula
- convert ml to mg medicine
- converting pounds to kg formula
- convulsive shock therapy
- couture scrub pants
- creatinine normal lab values
- critical thinking nclex questions
- critical thinking nclex questions quizlet
- cute nurses scrubs
- dansko clogs for nurses
- dansko nurse clogs
- dansko nurse clogs on sale
- dansko patent leather clogs sale
- dansko pro xp cabrio
- dansko professional wide
- dansko xp reviews
- dates
- davis drug book
- davis drug book amazon
- decreased deep tendon reflexes
- decreased deep tendon reflexes and magnesium
- defense mechanism displacement
- defense mechanism example
- defense mechanisms dissociation
- defense mechanisms dissociation examples
- define oculogyric crisis
- define perineal area
- define peritoneal dialysis
- define physiological adaptation
- define relativism ethics
- definition of ethical principles
- definition of ethical principles in social work
- definition of patient confidentiality
- deontological ethical theories
- deontological ethical theories examples
- diabetes care plan example
- diabetes concept map
- diabetes mellitus care plan
- diabetes mellitus type 2 care plan
- diabetic crisis symptoms
- diagnosis for vertigo
- diagnosis of mania
- diagnosis of mania dsm 5
- dickies mock wrap top
- dickies scrubs canada
- dickies scrubs canada online
- different formulas in mathematics
- different routes of administration of medication
- different types of wound dressings
- different wound dressings
- differential diagnosis for vertigo
- diminished breath sounds
- diminished breath sounds pneumonia
- diminished lung sounds
- diminished lung sounds in lower lobes
- diminished pedal pulses
- diminished pedal pulses can indicate
- displacement defense mechanism example
- displacement vs projection defense mechanism
- disturbed thought process related to schizophrenia
- disturbed thought process related to schizophrenia nursing care plan
- diverticulitis care plan
- diverticulitis care plan nursing diagnosis
- dka and hhs
- dka and hhs guidelines
- dka in children
- dka treatment in children
- docusate sodium pregnancy category
- dosage calculation conversion chart
- dose calculation formulas
- drug calculations questions
- drug calculations questions for nurses
- drug math for nurses
- easy way to learn medications
- easy way to learn medications nursing
- ecg reading basics
- ecg recognition test
- ecg rhythm interpretation
- ecg rhythm interpretation for acls
- ecg rhythm strip quizlet
- ecg rhythm strip quizzes
- ecg test results interpretation
- ekg classes for nurses
- ekg strip examples
- electrolyte and acid base balance
- electrolyte and acid base balance slideshare
- electrolytes function in the body
- electronics formula cheat sheet
- empire waist scrub tops
- ethical principle of fidelity
- ethical principle of fidelity requires a medical practitioner to
- ethical principles definition
- ethical principles definition health and social care
- ethical theories list
- etiology of uti
- etiology of uti pdf
- example care plan
- example of tertiary prevention
- example of tertiary prevention in health promotion
- example of utilitarianism ethics in nursing
- example of utilitarianism in ethics
- examples of beneficence
- examples of beneficence in nursing research
- examples of broad spectrum antibiotics
- examples of broad spectrum antibiotics for sepsis
- experienced rn resume
- experienced rn resume examples
- fahrenheit and celsius chart
- fahrenheit to celcius formula
- fahrenheit to celsius formula
- family development theory
- family development theory ppt
- feeding through peg tube
- fetal heart rate monitoring
- fetal heart rate monitoring strips
- fetal heart rate tracings
- fetal heartbeat rates
- fetal monitor strips
- fetal monitor strips practice
- fetal skull fontanels
- figs
- fish
- fishers
- florence nightingale lady with the lamp poem
- florence nightingale with lamp
- fluids electrolytes and acid-base balance
- fluids electrolytes and acid-base balance ppt
- forensic nurse death investigator
- forensic nurse death investigator education guidelines
- format list of professional references
- format list of references
- formula in converting fahrenheit to celsius
- fossil black steel watch
- fossil riley stainless steel watch
- fossil rose gold watch
- fossil rose gold watch ladies
- fossil steel watch women's
- four quadrants abdomen
- four quadrants abdomen organs
- fundamentals by white swan
- fundamentals white swan scrubs
- gerd symptoms infant
- go walk shoes
- graduate nurse resume template
- graduate nurse resume template free
- graduate nurse resumes
- grams to milliliters conversion chart
- grandfather
- gtts per minute
- gtts per minute problems
- hair and nails integumentary system
- hand washing presentation
- hand washing presentation for elementary students
- hct levels during pregnancy
- head to toe physical examination format
- head to toe physical examination slideshare
- healing hands uniforms
- health care plan template download
- heart assessment documentation
- heart assessment documentation sample
- hellp syndrome labs
- hematology normal ranges
- hemodynamic monitoring made easy
- hemodynamic monitoring made easy pdf
- hemodynamic monitoring made incredibly visual
- hemodynamic monitoring made incredibly visual pdf
- hemoglobin a1c lab results
- hertz nclex review
- high sodium and potassium levels in blood
- high sodium and potassium levels in urine
- highest paid nurse anesthetist
- highest paid nurse anesthetist state
- home catheter kit
- homicidal ideation assessment
- homicidal ideation assessment questions
- hospice code of ethics
- hospital lab values
- how big is a normal thyroid gland
- how big is a thyroid gland
- how do you treat a pulmonary embolism
- how do you treat a pulmonary embolism him
- how to administer insulin shot
- how to administer insulin subcutaneously
- how to become a perioperative nurse
- how to become a perioperative nurse in australia
- how to care for 3rd degree burns
- how to care for 3rd degree burns at home
- how to care for burns
- how to care for burns on feet
- how to care for colostomy bag
- how to care for colostomy wound
- how to convert kg to lbs formula
- how to convert units in mathcad
- how to convert units in maths
- how to count apical pulse
- how to count apical pulse in newborn
- how to diagnose a brain aneurysm
- how to diagnose deep vein thrombosis
- how to insert a foley catheter in a female
- how to measure ekg strips
- how to prevent pulmonary embolism
- how to read abnormal ecg
- how to read abnormal ecg results
- how to study pharmacology
- how to study pharmacology for usmle
- how to understand your blood test results
- humulin regular insulin pen
- hypovolemic shock diagnosis
- hypovolemic shock diagnosis and treatment
- ice watch black and white
- identity vs role confusion examples
- identity vs role confusion examples situation
- in med diagnostics
- increased icp signs and symptoms
- increased intracranial pressure pathophysiology
- indicated function value calculator
- indicated function value graph
- indication of endotracheal tube
- indication of endotracheal tube insertion
- indications for nasogastric tube insertion
- ineffective cerebral tissue perfusion care plan
- ineffective tissue perfusion cerebral related to ineffective cardiac output
- infection lab values
- inserting ng tube in child
- inserting ng tube nursing steps
- integumentary system skin hair and nails
- internal fetal heart rate monitoring
- interpret lab results
- interpret lab results blood work
- interventions for impaired gas exchange
- invicta engraved mens watches
- invicta mother of pearl watch
- invicta pro divers
- invicta pro divers watch
- invicta watches mens
- invicta watches pro diver black
- invicta women's watches mother of pearl
- is bipolar a medical condition
- is nph long acting insulin
- iv calculation formulas for nurses
- iv calculation problems
- iv dosage calculation practice problems with answers
- iv drug calculation formulas
- iv fluid calculation formula for neonates
- iv formula calculation
- j peg tube feeding
- justice definition medical ethics
- k lab values
- kenneth cole down coat with hood
- kenneth cole down jacket
- kenneth cole laptop bags
- kg to lb conversion chart
- kg to lb conversion chart printable
- killed
- kilograms to pounds conversion formula
- kilograms to pounds formula
- kipling back pack
- kipling laptop case
- koi cargo pants
- lab blood test results explained
- lab blood test results template
- lab results hemoglobin low
- lab results interpretation
- lab results interpretation wbc
- lab value interpretation for nurses
- lab value norms
- lab value norms nursing
- lab values chart normal cbc test
- lab values dehydration
- lab values electrolytes
- lab values for children
- lab values made easy
- labor & delivery nurse
- labor and delivery nurse thank you
- laboratory lab values and meanings
- lantus dosing chart
- lantus insulin dosing chart
- laptop bags with wheels
- late sign of increased icp
- late sign of increased icp in child
- lb to kg conversion formula
- lbs to kg conversion formula
- lbs to kg formula
- learning ecg interpretation
- learning ecg interpretation online
- list of ethical principles
- list of ethical principles in life
- list of nurse theorists
- littmann nurses stethoscope
- littmann smoke finish
- liver nclex questions
- liver nclex questions quizlet
- location of apical pulse
- low electrolytes symptoms
- low electrolytes symptoms nhs
- low fetal heart rate
- low fetal heart rate miracle
- low magnesium and potassium
- low magnesium and potassium levels in pregnancy
- low osmolality blood test
- low osmolality blood test results
- magnesium and potassium levels
- magnesium and potassium levels low
- maintenance fluid calculation 4 2 1
- maintenance fluid calculations
- major ethical theories
- major ethical theories pdf
- management of icp
- management of icp ppt
- manual of laboratory and diagnostic tests
- manual of laboratory and diagnostic tests - with access 10th 18
- math all formula
- math all formula in english
- math factor chart 1-100
- math made easy reviews
- mathematics unit conversion table
- maths basic formulas
- maths conversion worksheets
- maths conversion worksheets ks2
- maths formulas list
- mch normal values
- mcv blood high symptoms
- mcv blood test high
- meaning of ph level
- meaning of ph level in soil
- med couture scrub pants
- med surg class
- med surg class lpn
- medical definition of dialysis
- medical dosage calculations practice
- medical ethics definition
- medical lab report
- medical lab report format
- medical pocket organizer
- medical terminology final exam study guide
- medication administration practice test
- medication administration practice test for nurses
- medication flash cards
- medication for benign prostatic hypertrophy
- medication routes of administration
- mental health risk assessment template pdf
- merrell encore shoes
- merrell encore shoes on sale
- metabolic acidosis lab values
- metabolic acidosis lab values potassium
- metabolic acidosis labs
- metabolic acidosis labs example
- metabolic and respiratory acidosis and alkalosis
- metabolic and respiratory acidosis and alkalosis treatment
- metric conversion made easy
- military time cheat sheet pdf
- military time conversions
- military time conversions chart
- military time converter chart
- military time minutes converter chart
- milligrams to grams conversion chart
- mnemonics for clotting factors
- mnemonics for plasma clotting factors
- mock wrap scrub top
- mock wrap scrub top pattern
- mood disorder examples
- most common lab tests
- mpv blood test results explained
- mpv blood test results low
- nanda care plan for pain
- nanda for copd
- nanda ncp for copd
- nasogastric tube insertion video
- nclex exam tips
- nclex normal lab values
- nclex normal lab values 2020
- nclex rn examination book
- nclex rn flashcards
- nclex rn flashcards 2020
- ncp for acute coronary syndrome
- ncp impaired skin integrity
- ncp impaired skin integrity related to surgical incision
- neonatal abstinence syndrome pathophysiology
- neonatal normal vital signs
- neonatal vital signs normal ranges
- nephrol nurs j
- neurodegenerative diseases symptoms
- new balance 812
- new graduate nurse resumes
- new registered nurse resume
- new registered nurse resume examples
- ng tube medication administration
- ng tube medication administration guidelines
- normal ammonia levels in blood
- normal blood chemistry lab values
- normal blood electrolyte levels
- normal blood electrolyte levels australia
- normal cl levels
- normal cl levels in blood
- normal icp levels
- normal lab values bun
- normal lab values bun creatinine ratio
- normal lab values during pregnancy pdf
- normal lab values electrolytes
- normal lab values for ast and alt
- normal lab values for children
- normal lab values in pregnancy
- normal neonatal lab values
- normal pregnancy lab values
- normal range for potassium in blood
- normal range for potassium in blood test
- normal range of sodium in body
- normal ranges of vital signs
- normal ranges of vital signs according to age
- normal stages of labor
- normal stages of labor and delivery
- normal value sodium and potassium
- normal values of electrolytes
- normal values of electrolytes in pediatrics
- normal values of mcv mch mchc
- normal values of sodium
- normal values of sodium and potassium in urine
- nph insulin administration
- nph insulin administration times
- nrg by barco scrubs
- nurse interview questions to ask
- nurse interview questions to ask employer
- nurse name badge holders
- nurse pen holder
- nurse pocket pen holder
- nurse shoes black uk
- nurse shoes clogs
- nurse shoes clogs near me
- nurse shoes on sale
- nurse.com promo code
- nurses shoes black
- nursing care plan for chf
- nursing care plan for congestive heart failure
- nursing care plan for iron deficiency anemia in pregnancy
- nursing care plan for pain nanda
- nursing care plan for risk of infection
- nursing diagnosis diabetes care plan example
- nursing interventions for impaired gas exchange
- nutrition assessment example
- nutrition assessment form example
- nutrition care plan example
- nutrition care plan for hypertension
- ob nclex questions
- ob nclex questions postpartum
- old coins and notes value
- old notes value
- olive green smoke finish littmann
- oral health care plan template
- ostomy care for nurses
- pathophysiology of biliary atresia
- pathophysiology of bipolar disorder
- pathophysiology of bipolar disorder quizlet
- pathophysiology of chronic respiratory failure
- pathophysiology of increased intracranial pressure ppt
- pathophysiology of neonatal abstinence syndrome
- patient care plan examples
- patient free nursing care plan examples
- pediatric assessment video
- pediatric asthma pico question examples
- pediatric nurse journal
- pediatric physical exam checklist
- pediatric pico question examples
- peer reviewed articles on diabetes
- peer reviewed articles on diabetes management
- peg j tube placement
- peg j tube placement cpt code
- peg tube and g tube
- peg tube and g tube the same
- peg tube insertion
- peg tube insertion anesthesia
- peptic ulcer disease management
- peptic ulcer disease management guidelines
- pharmacology cardiac drug classification chart
- pharmacology classes of drugs
- pharmacology classes of drugs and related terms
- pharmacology drug classification
- pharmacology math formulas
- pharmacology memory notecards
- pharmacology memory notecards pdf
- pharmacology nclex practice questions
- pharmacology of antidepressants
- pharmacology of antidepressants pdf
- physical assessment nclex questions
- physical assessment nclex questions quizlet
- piaget human development theory
- picc line care plan
- placement of peg tube
- placement of peg tube video
- platelets normal value in pregnancy
- platelets normal values
- pneumonia breath sounds
- pocket organizer for nurses
- posterior tib pulse
- posterior tibial and dorsalis pedis pulses
- pounds to kilograms chart printable
- pounds to kilograms conversion chart printable
- pre assessment nurse salary uk
- pre nursery assessment
- pre op management of thyroidectomy
- pre op pain management
- prevent pulmonary embolism after surgery
- primary secondary and tertiary levels of prevention
- primary secondary and tertiary prevention
- principle of maleficence
- principle of non maleficence
- pro diver watches
- prochaska theory of change
- progressive neurodegenerative disease
- progressive neurodegenerative disease list
- propet wash and wear slip on
- propet wash and wear women's shoes
- psychiatric evaluation example
- psychiatric evaluation examples pdf
- pulmonary breath sounds
- pulmonary embolism breath sounds
- pulmonary embolism chest pain
- pulmonary embolism chest pain pathophysiology
- pulmonary embolism treatment
- purpose of urinary catheterization
- radiation burn care
- rbc normal range
- regular insulin pen
- reye's syndrome symptoms
- reye's syndrome symptoms in toddlers
- right sided heart failure symptoms
- risk assessment mental health template
- rn notes pocket guide 2020
- rn pocket guide pdf
- rn resume skills and abilities
- rn resume skills examples
- role of public health nurse
- role of public health nurse in hiv
- rose gold fossil stella watch
- running shoe brands logos
- sample ekg rhythm strips
- sample plan of care
- sample plan of care for dementia
- samsonite wheeled backpack
- samsonite wheeled backpack 55/20
- sanita koi clogs
- sanita koi clogs on sale
- saunders storage clipboard
- schizophrenia care plan
- schizophrenia care plan slideshare
- scrubs instagram cute nurses
- sed rate lab values
- selective serotonin reuptake inhibitors list
- severe dehydration lab values
- shoe brands logos
- sigmund freud theories of development
- signs of a spinal injury
- signs of a spinal injury in dogs
- signs of raised intracranial pressure
- signs of raised intracranial pressure on ct
- silicone ice watch
- silky scrub tops
- simple math calculations
- sinus bradycardia ecg rhythm strip
- sinus bradycardia ecg strip
- skechers go walk on sale
- skechers go walk shoes reviews
- skechers go walk sock knit 360
- skechers go walk sock shoe
- skechers mary jane shoes
- skechers mary jane shoes uk
- skechers shoes with wheels
- skechers skate shoes with wheels
- skull development in fetus
- slightly low red blood count
- sociological theories of aging
- sodium and potassium balance
- sodium and potassium balance in human body
- sodium as an electrolyte
- sodium as an electrolyte in the body
- sodium normal values
- some basic formulas of maths
- spinal cord injury first aid
- spinal cord injury first aid management
- spinal cord shock
- spinal cord shock is characterized by quizlet
- splitting defense mechanism example
- stadol during labor
- stadol during labor reviews
- stella fossil watches for women
- steps of the circulatory system
- steps of the circulatory system ks2
- stethoscope buying guide
- student nurse blogs
- study tips for nclex rn
- sugar
- surgical management of spinal cord injury
- surgical management of spinal cord injury slideshare
- swiss legend legato cirque
- symptoms of shock
- synonym for best in class
- synonym for employee
- synonym for employee morale
- synonym for prevalent
- the cardiovascular system includes
- the cardiovascular system includes the digestive system
- the lady of the lamp
- the lady of the lamp poem
- the north face backpack jester
- the north face women's backpacks
- the term meaning white blood cells is
- theories of aging
- therapeutic communication techniques
- therapeutic communication techniques for depression
- therapeutic techniques in communication
- thyroid nodule aafp
- time conversion chart minutes to decimal hours calculator
- time conversion chart minutes to decimal hours pdf
- torch infections symptoms
- trace peripheral edema
- treatment for marasmus
- treatment for marasmus and kwashiorkor
- treatment of dvt in calf
- troponin cardiac markers
- type 1 diabetes concept map
- types of defense mechanisms in psychology
- types of hypertonic solutions
- types of spinal cord injury
- types of spinal cord injury syndromes
- understanding fluids and electrolytes
- understanding fluids and electrolytes nursing
- uneven abdominal muscles
- unit conversion problems worksheet
- unit conversion word problems worksheet
- urinary catheterisation video
- urine routine test results normal range
- urine test results normal range
- uti care plan
- uti care plan scribd
- utilitarian ethics definition
- vital signs in children
- vital signs in children's nursing
- wallace
- wbc lab value range
- wbc lab values
- wbc rbc normal range
- week 16 fetal development
- what are clinical manifestations of hypothyroidism
- what are clinical manifestations of hypothyroidism (select all that apply.)
- what are physiological adaptations
- what are physiological adaptations to exercise
- what is a chem 7 blood test
- what is diabetes mellitus signs and symptoms
- what is family system theory
- what is family system theory pdf
- what is fetal heart rate
- what is fetal heart rate at 10 weeks
- what is included in a complete blood count
- what is included in a complete blood count with differential
- what is the average salary for a nurse anesthetist
- where are ice watches made
- white blood cell count ranges
- white blood count ranges
- white work shoes
- white work shoes slip resistant
- william
- women's nike reax running shoes
- womens oxford shoes black
- wound care classes for nurses
- wound care dressing materials
- wound care made easy
- wound care made easy pdf
- wound care made incredibly visual
- wound care made incredibly visual pdf free download
- wound care materials
- x factor chart math
-
Blood tests sometimes called blood panels are one of a physician s most basic tools. By getting a copy you can also see what the normal ran...
-
The dorsalis pedis pulse dp pulse is commonly assessed by physicians during a peripheral vascular system examination of the lower limbs. It...
-
They affect how people make decisions and lead their lives. Beneficence least harm autonomy non violence or peace justice and truthfulness ...